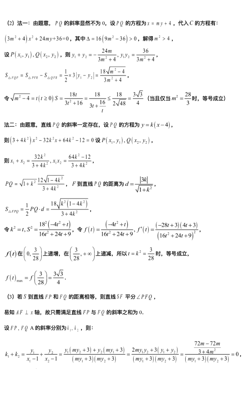
江苏省南京市六校联合体2026届高三上学期8月学情调研数学试题质量较高,题型多样,将作为考察考生对相应考点的掌握程度,考后将及时整理试题及答案解析相关信息,以供考生学习交流!
数学试题及答案解析
导读江苏省南京市六校联合体2026届高三上学期8月学情调研数学试题质量较高,题型多样,将作为考察考生对相应考点的掌握程度,考后将及时整理试题及答案解析相关信息,以供考生学习交流!数学试题及答案解析
江苏省南京市六校联合体2026届高三上学期8月学情调研数学试题质量较高,题型多样,将作为考察考生对相应考点的掌握程度,考后将及时整理试题及答案解析相关信息,以供考生学习交流!
数学试题及答案解析
江苏省南京市六校联合体2026届高三上学期8月学情调研物理试题质量较高,题型多样,将作为考察考生对相应考点的掌握程度,考...
大试题为您提供2025年高考江苏卷物理试卷及参考答案解析...
大试题为您提供2025年高考江苏卷生物试卷及参考答案解析...
大试题为您提供2025年高考江苏卷历史试卷及参考答案解析...
大试题为您提供2025年高考江苏卷化学试卷及参考答案解析...