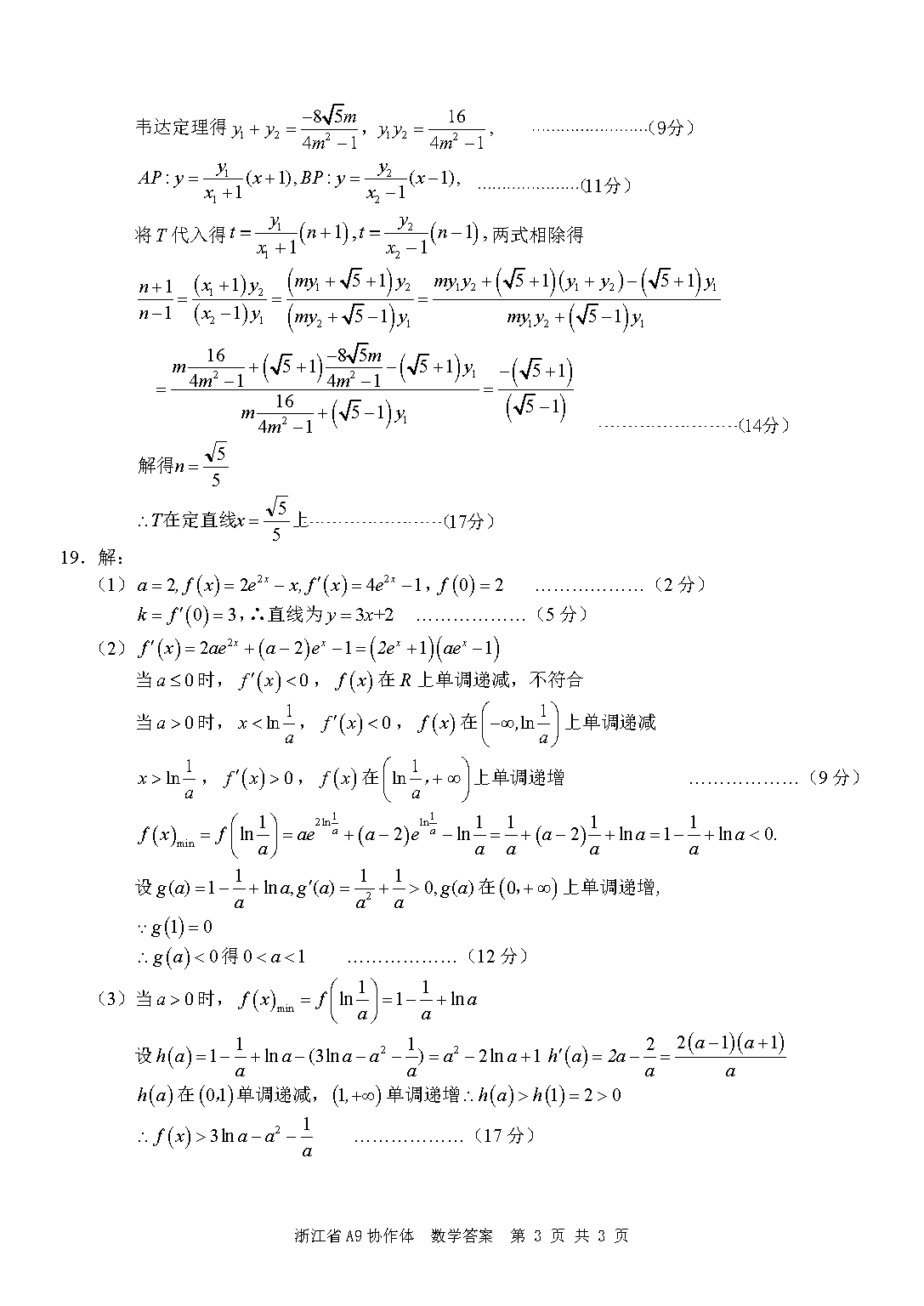
浙江省A9协作体2026届高三暑假返校联考数学试题质量较高,题型多样,将作为考察考生对相应考点的掌握程度,考后将及时整理试题及答案解析相关信息,以供考生学习交流!
数学试题及答案解析







导读浙江省A9协作体2026届高三暑假返校联考数学试题质量较高,题型多样,将作为考察考生对相应考点的掌握程度,考后将及时整理试题及答案解析相关信息,以供考生学习交流!汇总:浙江省A9协作体2026届高三暑假返校联考数学试题及答案解析
浙江省A9协作体2026届高三暑假返校联考数学试题质量较高,题型多样,将作为考察考生对相应考点的掌握程度,考后将及时整理试题及答案解析相关信息,以供考生学习交流!
数学试题及答案解析







浙江强基联盟2025年8月高三联考地理试题质量较高,题型多样,将作为考察考生对相应考点的掌握程度,考后将及时整理试题及答...
浙江省强基联盟2025届高三下学期5月联考语文试题质量较高,题型多样,将作为考察考生对相应考点的掌握程度,考后将及时整理...
浙江省强基联盟2025届高三下学期5月联考数学试题质量较高,题型多样,将作为考察考生对相应考点的掌握程度,考后将及时整理...
浙江北斗星盟2025届高三下学期三模政治试题质量较高,题型多样,将作为考察考生对相应考点的掌握程度,考后将及时整理试题及...
浙江北斗星盟2025届高三下学期三模语文试题质量较高,题型多样,将作为考察考生对相应考点的掌握程度,考后将及时整理试题及...
湖南沅澧共同体2025年高一下学期期末英语试卷及参考答案